INDUSTRIAL REFRIGIRATION VAPOR VALVE SIZING: An upadated approach
By Robert Sterling, President, Sterling Andrews Engineering, PLLC
Editor’s Note
The current methodology for valve sizing has been accepted in the industrial refrigeration industry for years. This paper will review past efforts undertaken in the literature and standards to determine suitable methods for quantifying the compressible flow pressure drop in valves and attempts to compare them while providing a base rationale for which, if any, are appropriate methods for determining pressure drop.
This study on industrial vapor valve sizing recommends that a new approach, through the use of widely-standardized methods for calculating vapor flow valve pressure drops, be adopted in the industrial refrigeration industry on the part of engineers, contractors and valve manufacturers.
While the current practice is to select valves based on the load capacity they are connected to, the author suggests that this may not be the most appropriate method as it can be based on assumptions that may not always hold true.
The paper displays a methodology to look at valves individually and use parameters that are specific to the application rather than an assumption.
This can lead to a more accurate sizing of valves which could in turn reduce costs and/or improve operating characteristics.
The industry is likely to consider this proposal carefully as it holds promise for improving efficiency and the IIAR piping committee may include these methodologies in the piping handbook which provides guidelines on pipe and valve selection.
In addition, purveyors of valves may wish to consider the implications for how their catalogue data is presented and how a designer could select valves.
Calculation of pressure drop in vapor flows through valves has made substantial advancements in the past half-century. Currently-used methods for determining pressure drop through valves with vapor flows (assumed to be either saturated or superheated refrigerant vapor states) were identified and evaluated. Attempts at providing a standard means for industrial ammonia system engineers to calculate vapor valve pressure drops have been undertaken in the past, notably by the IIAR. At present, the IIAR makes available an explicit set of equations, based on Cv , and provided in the Ammonia Refrigeration Piping Handbook (2004).
It is often the case that in HVAC&R, valves are sized based on capacity in Tons of Refrigeration. This does not allow for accurate sizing for types of valves not rated in those terms and will often not predict the correct valve for a specific application. This study recommends the use of widely-standardized methods for calculating vapor flow valve pressure drops be adopted in the industrial refrigeration industry on the part of engineers and contractors.
INTRODUCTION
A commonly applied metric or performance characteristic available for almost every type and size of valve is its “flow coefficient” or Cv . Cv (unless specifically called out as being otherwise) is universally understood to represent the volume flow rate flow coefficient of water at standard conditions (60°F)through a valve for a 1 psig pressure drop (gpm/psi). While arguments can be made for and against a liquid Cv as the characteristic on which to rate a valve intended for compressible flow, it is nevertheless the most easily obtained characteristic for any valve intended for use. Specific characteristic valve data other than the Cv are not widely published for industrial refrigeration valves.This paper will review past efforts undertaken in the literature and standards to determine suitable methods for quantifying the compressible flow pressure drop in valves and attempt to compare them while providing a base rationale for which, if any, are appropriate methods for determining pressure drop.
In all cases, areas of interest will be limited to vapor flows where pressure drop, ∆P ≤ 0.5 P (inlet pressure), or non-choked, pure vapor flow [2,3,6]. Flows where pressure drop is sufficient to cause condensing (at pressures above approximately 400 psig for ammonia) are not considered as this would not constitute pure vapor flow. In addition, the methods considered are for turbulent flow through a valve, and assumed valid above Re = 10,000 [3]. The assumption of turbulent flow at low pressure drops in common refrigerant service valves can be readily accepted and is not a blanket statement or poor assumption. It can be easily demonstrated with any valve for which the connection size is known, as is shown below.
It should be noted before proceeding that the standard, ANSI/ISA 75.01.01 uses the smallest throat diameter in the valve as the characteristic dimension for the Reynolds number referred to above. This information is not typically available in regular catalog literature for refrigerant valves. However, if the connection size of the valve is known, it can be substituted as the characteristic dimension and will be conservative (in other words, if the port is smaller than the connection size, Reynolds number will be underestimated by using the connection size). Reynolds numbers calculated for low pressure drops in refrigerant valves using the connection size rather than the smallest internal diameter are typically orders of magnitude higher than the minimum threshold of 10,000 given above.
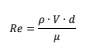
A 4-inch gas-powered suction valve with a Cv value of 276 with saturated ammonia vapor at 40°F is considered. A pressure drop of 0.25 psig is assumed to demonstrate a reasonably low pressure drop at high inlet pressure. Note that the mass flow to generate a 0.25 psig pressure drop has been determined using the ANSI/ISA 75.01.01 equation for vapor flow pressure drops through valves, which is discussed in detail in subsequent sections. The mass flow, 4,351 lb/hr, corresponds to a heat removal of 175.5 TR at 40°F with the liquid supply at 86°F. The diameter is assumed as the nominal size, 4 inches. The definition of the Reynolds number is: where:
ρ is the fluid density V is the fluid velocity d is the characteristic dimension, in this case the nominal diameter of the valve μ is the dynamic viscosity
To determine the Reynolds number using the available information from above, the equation is rearranged, substituting velocity in terms of the mass flow.
Substituting values and correcting units (the dynamic viscosity of saturated ammonia at 40°F is 6.177*10-6 lb/ft-s, from NIST’s REFRPROP 9.1)
The result is Re = 747,100. This is well above the threshold for Re = 10,000 mentioned above, and is based on the largest cross sectional internal area of the valve, which is larger than the actual minimum diameter. Therefore, the assumption of turbulent flow in typical design cases for refrigerant vapor flow will be considered accurate within the scope of this analysis.
In addition, although various resources provide means of accounting for fittings attached directly to a valve, for simplicity, the focus of this paper will be valves installed at line size without attached fittings. Most catalog ratings for refrigeration valves assume no attached reducers.
To clarify the content of the work that follows, two points are made here:
Although R-22 as a refrigerant for new system design is not very relevant, it is included, along with ammonia, in the comparisons made between the ISA method and the IIAR method because manufacturers’ ratings for valves on R-22 are readily available, whereas other refrigerant ratings are not.
ISA has published a 2012 version of the 75.01.01 standard, which was not directly observed for the writing of this paper. However, a summary of changes was obtained and it was found that the equations used here did not change in the update of the standard. The 2007 update, from which the equations were taken, has been cited.
INCOMPRESSIBLE FLOW EQUATION
The basis of compressible flow equations is the incompressible flow equation, which relates the valve characteristic to the pressure drop as follows [1,2]:
Where:
Cv is the valve characteristic flow coefficient
Q is the flow in US gallons per minute
SG is the specific gravity as compared to water at 60°F
∆P is the pressure drop through the valve, P1 – P2 in psi
Equation (1) provides universally-accepted results for calculated pressure drop when liquid is sufficiently subcooled to prevent flashing and flow is not choked, as it is the definition of Cv . For compressible flows, this formula is not considered suitable because it does not account for changing density with changing pressure.
MODEL FOR COMPRESSIBLE FLOW PRESSURE DROP
The concept of using Cv , the incompressible flow coefficient, to model flow for vapor through valves, has been fairly standard for many decades Turnquist [2]. Equations for this have taken various forms, including but not limited to the following:
where:
Cv is the valve characteristic flow coefficient
Q is the flow rate in SCFH
P1 is the inlet pressure in psia
P2 is the outlet pressure in psia
T1 is the absolute inlet temperature in R (°F + 460R)
∆P is the pressure drop through the valve, P1 – P2, in psi
SGair is the inlet specific gravity with respect to air at standard conditions (14.7 psia and 60°F)
Equations (2), (3), and (4) may produce widely-varying results [2]. As an interesting note, a flow of 1,000,000 SCFM at various pressure drops was used to compare the results of these equations for CV. The results have been calculated and plotted in Figure 1:
The form of equations (2), (3), and (4) (either Cv or Q, the volumetric flow, is almost universally alone on one side or the other) is indicative of the fact that interest in performing accurate calculations has been toward determining the required valve Cv from an incompressible flow under conditions where pressure drop is known (in the case of Figure 1 at 50, 100, and 150 psi Turnquist [2]). This is certainly due in part to the fact that a valve manufacturer can control the aforementioned conditions during testing and is interested in determining the Cv of a particular valve (these equations come from valve manufacturers). In many non-refrigeration cases, where flow is commonly expressed in terms of mass flow rather than heat flow (lb/hr instead of TR or BTU/ hr), this can easily be compared to a previously-calculated required Cv in order to determine the suitability of a particular valve for service. However, such a design approach is inconvenient for engineers designing and diagnosing refrigeration systems because in most cases where refrigeration valves are being sized, pressure drop (and consequently valve outlet pressure) is unknown.
For industrial refrigeration engineers, while considering an initial acceptable pressure drop through a valve (say, 2 psi) is often convenient as a starting point, as is more often the case, the engineer must consider the actual pressure drop in individual valves and overall pressure drop in an entire valve train. In doing so, trade-offs can be made depending on the performance of the chosen valves. This necessitates an ability to accurately predict the pressure drop in each valve and total pressure drop in the overall valve assembly.
The obstacle presented to the design engineer is that all formulas considered accurate for the vapor flow pressure drop are implicit for ∆P, and so iteration of one form or another is required [2,4,6]. This is clearly accepted by the IIAR as an organization, since the equations in the Ammonia Piping Handbook are also implicit for ∆P, but is an off-putting concept to many industrial refrigeration engineers who would prefer to use an explicit equation. The down side to this preference is that, at times, making these equations explicit requires simplifying assumptions that compromise the accuracy of the resulting equation and so are difficult to defend given the availability of current standards and knowledge.
To illustrate this point in the case of sizing valves for vapor flow, a simple comparison can be made of the results of some of the available formulas for calculating pressure drop. The following flow condition will be used for an Ammonia vapor stream at 20°F:
One of the available explicit equations is listed in [1]. With the inlet information above, the pressure drop is calculated as:
The vapor flow above represents a 246 TR ammonia load at 86°F liquid inlet temperature and saturated 20°F vapor coming into the valve. The valve flow coefficient represents one manufacturer’s valve, for which the manufacturer publishes a 2 psi pressure drop at these conditions, more than twice the calculated pressure drop from the above explicit expression. The manufacturer’s rating is known to be based on an implicit equation in Turnquist [2]. The simplifying assumption in this equation appears to be that the flow through a valve is not significantly affected by the expansion factor (discussed later), but it would appear that this is not a trivial simplification and in fact destroys the validity of the equation.
It is therefore asserted that, in the case of vapor flow pressure drops, an implicit equation for ∆P will provide superior results to those simplified explicit equations available. Turnquist [2], the basis for the IIAR equations, gives the following:
where: Cv the valve characteristic flow coefficient
Q is the flow rate in SCFH
P1 is the inlet pressure in psia
P2 is the outlet pressure in psia
T1 is the absolute inlet temperature in R (°F + 460R)
∆P is the pressure drop through the valve, P1 – P2, in psi
Gg is the inlet specific gravity with respect to air at standard conditions (14.7 psia and 60°F)
The middle term is an early version of what has come to be known as the expansion factor Y. It has been determined partially by derivation and partially by empirical analysis. Although Equation (5) is similar in form to later equations in ISA 75.01 and other publications, there are some key differences, most-notably that P1 appears in the numerator under the radical. In addition, the Y term does not consider some of the properties that have since been determined to affect the expansion factor.
It is clear that, since the time of the work done by Turnquist, those associated with the ISA, Fisher (now Emerson), and Crane have taken a leading role in furthering work in this area. ANSI/ISA 75.01.01-2007 is widely accepted as the current standard for performing control valve flow calculations. While vapor flow formulas listed in the standard are similar to Turnquist [2] for predicting pressure drop in valves for compressible flow, the formulas in the ISA standard are more complex, inasmuch as they also consider the compressibility factor Z as well as the specific heat ratio of the fluid and an additional valve characteristic, xT . In addition, while Turnquist [2] develops an expression based on averaging a family of lines generated by calculating Y (the adiabatic expansion factor) at various ratios of pressure drop to inlet pressure, Buresh, et al [5] takes a moredirect approach by plotting flow over critical flow against an abscissa that is the square root of the pressure drop ratio divided by the critical pressure drop ratio:
This plot of essentially raw data is then directly curvefitted as a sine function, with no averaging of empiricallyderived results. Turnquist [2] appears to be a dead-end branch in the tree of development of gas sizing equations, and is referenced by Buresh, et al [5] only for comparison to other contemporary equations. As mentioned previously, substantial work has been contributed to the field since Turnquist [2], and much is referenced in the ISA standard. The form of the equations in that standard are now discussed.
In similar units to Turnquist [2] (ft3 /hr) ANSI/ISA 75.01.01-2007 [3] provides the following:
where:
Fγ is specific heat ratio factor of the vapor, Cp/Cv /1.4.
Although not explicitly stated, it is assumed that this is the specific heat ratio at standards conditions (14.7 psia, 60°F). An inspection of values in Annex C of the ANSI/ ISA standard shows that this is the case. Note that, in reality, specific heat ratios may vary significantly over various temperature ranges for real gasses.
Gg is the ratio of the density of the gas at standard conditions to that of dry air at standard conditions
P1 is the inlet pressure in psia
Q is the flow in SCFH
T1 is the absolute inlet temperature in R (°F + 460R
) x is the ratio ∆P/P1
xT is the pressure differential ratio, defined as the limit of
x where choked flow begins, where
Typical values based on various control valve types are listed in ANSI/ISA 75.01.01-2007 [3]. For globe-style valves, 0.65 to 0.75 is a common range of values for xT according to Table 1 of that standard.
Y is the expansion factor, which is given by
Z is the compressibility factor for the gas at flow conditions
It is interesting to note that the coefficient of 1360 is the same as a formula in Turnquist [2] put forth in that paper to be less-than accurate in predicting pressure drops based on real valve data gathered on 32 different valves. However, this is probably coincidental, since the Y factor appears to be significantly changed as well. The form of equation (6) in ANSI/ISA 75.01.01 2007 [3] is noted in Driskell [6], published in 1970, 9 years after Turnquist. However, the key difference between the 1970 work and the 2007 standard is that specific heat ratio effects are acknowledged but assumed negligible in Driskell [6].
The flow equation (6) can be rewritten, replacing x with ∆P/P1, as:
Note that, as opposed to Turnquist, the inlet pressure under the radical is now in the denominator. This change can be seen as early as in Buresh, et al [5], likely because the later work is a departure from a strictly empirical analysis.
As xT can only be determined by experiment for a valve, this introduces a level of complexity requiring a value that most valve manufacturers either cannot or will not provide in their engineering literature. Fortunately, the value of xT can be approximated from the Table in the standard, as mentioned above. Some action by valve manufacturers on this lack of available information will be needed, as stated in the conclusions.
Although it is not explicitly stated in any work cited here thus far, all formulas appear to be based on the following assumptions:
- The specific gravity at standard conditions can be used and simply adjusted for temperature. Variations of the formulae interchange the ratio of molecular weights of the gas to air with the specific gravity (ANSI/ISA 75.01.01 2007 [3] explicitly states that these are considered interchangeable).
- The specific heat ratio remains constant
- The ideal gas equation of state is applicable (Pv = nRT)
COMPARISON OF THE IIAR METHOD
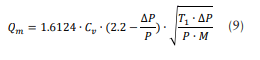
The IIAR Piping Handbook presents the following as the means for calculating pressure drops through vapor valves:
Cv is the valve characteristic flow coefficient
M is the molecular weight of the fluid (called out in the Handbook as 17.031 for ammonia
∆P is the pressure drop through the valve, P1 – P2, in psi
P is the (entering) pressure in psia
Qm is the actual rate in actual CFM at the flow temperature and pressure
T1 is the absolute entering temperature in R (°F + 460R)
The IIAR Piping Handbook cites Turnquist [2] as the derivation for the above. It is curious to note that, while the Y term is identical to Turnquist, the inlet pressure under the radical is now in the denominator and the inlet temperature is in the numerator. The coefficient has also changed significantly. In addition, the specific gravity at standard conditions has been replaced by the molecular weight ratio to air, and (presumably, upon initial inspection) the molecular weight of air has been pulled from beneath the radical and incorporated into the coefficient.
These differences represent changes to the equation required to convert from the final result of the Turnquist equation [2] from SCFM to CFM. The IIAR formula can be derived as follows. Referring back to Equation (5), the way in which the equation has been written suggests the assumption of ideal gas behavior.
where: Rair is the specific gas constant of air in ft-lbf/lb-R. The reason for using the specific gas constant and not the universal gas constant is expressed in terms of moles. The universal gas constant must be divided by the molar mass of the fluid, yielding the specific constant.
T1 is the absolute inlet temperature (°F + 460R)
P is the absolute inlet pressure in psia
v is the specific volume in cubic feet per pound
This can be recognized as the ideal gas law. In this case, the factor of 144 corrects square inches to square feet to yield specific volume in cubic feet per pound mass. The above must be substituted into Equation (5) (note that the left side is multiplied by v while the right side is multiplied by its equivalent, Rair x T1 /P). In addition, SCFH must be converted to actual CFM. This requires that SCFH be multiplied by the density of air at standard conditions of 14.7 psia and 60°F (0.07636 lb/ft3), ρs , and divided by 60 (hours to minutes)
PERFORMANCE OF THE IIAR METHOD
The above section reviewed early and contemporary approaches to determine gas pressure drop in valves, and set in context the method supplied by the IIAR for such sizing. The question remains as to the results provided by the IIAR method versus the almost half-century-newer approach recommended in ISA 75.01.01-2007. The following main differences apply to the ISA method:
- The form of the equation differs slightly from Turnquist [2] (which is in fact what the IIAR method is).
- The ISA method considers specific heat ratio and xT , the pressure differential ratio, as they affect the expansion factor, Y.
- The ISA method considers the compressibility factor, Z (though not in the Y term).
An evaluation of the accuracy of the ISA method has been undertaken by Riveland [4] and an alternate form of the expansion factor Y recommended by Riveland under certain circumstances. This alternative form of the equation is beyond the scope of this paper, but information in [4] is useful for validating the use of the ISA method for ammonia. While the assumptions underlying the ISA method, those of ideal gas behavior with Y uncorrected for real gas behavior (even though Z is represented in the equation under the radical) are not always correct, Riveland [4] asserts that the ISA equations (assuming ideal gas behavior and correcting with Z) give results within 3% of predicted real fluid behavior (comparison is made using equations for real gases listed in Appendix B of [3]) within the limits of their validity, chiefly where the specific heat ratio, γ, remains as 1.08 < γ< 1.65 (which is certainly valid for ammonia up to well above 300 psig saturated vapor and many other refrigerants in various pressure ranges), and additionally, where the “isentropic exponent” remains near 1.4, which for ammonia is the case over the saturated temperature range of -50°F through 120°F, where this exponent ranges from 1.47 to 1.58.
In contrast to ISA, the method from the IIAR piping handbook does not consider any real gas effects, nor the effects of the specific heat ratio on Y, the expansion factor, as this was not well understood at the time Turnquist [2] was published.
A comparison of the results of each method can be made by the use of simple spreadsheets. In this analysis, NIST’s REFPROP version 9.1 has been used to determine refrigerant properties under various conditions. The results are provided in the Tables listed. Valves from two different manufacturers were analyzed.
Note that for all valves analyzed below, the value of xT has been assumed at 0.75. This assumption may not be completely valid, but is consistently applied. The value is not published by either manufacturer considered.
Table 1 lists the results of the analysis for Manufacturer 1. Two sizes of valve are listed, 1” and 4”, with the corresponding Cv . For Table 1, which lists suction capacities and pressure drops, the conditions for the flow are 86°F liquid feed with saturated vapor at the valve inlet at the given pressure (inlet temperature is a saturated temperature). Where the suction temperature is listed at -20°F, the liquid feed is assumed to be at +10°F (the literature specifies two-stage operation for this suction temperature, but does not list the intermediate pressure or saturation temperature).
On the right side of Table 1, calculated pressure drop results of the IIAR formula and ISA formula are compared. The table lists the manufacturer’s published capacity and its corresponding results, and immediately following, the calculated capacity that corresponds to the IIAR formula producing a pressure drop corresponding to the published nominal value (2 psi or 5 psi).
In general, compared to the capacity listed in the manufacturer’s literature, the IIAR equation tended to under predict pressure drop by between 2% and 13%. This would mean that the valves are actually conservatively rated according to the IIAR equation (meaning that the valves will flow more than the listed TR at the given pressure drop), possibly due to the addition of some safety factor by the manufacturer. However, when these values are compared to the results from the ISA equation, the capacities listed predict higher-than-catalog pressure drops in many cases (though not all). When compared to the calculated pressure drop from the IIAR equation, the ISA equation calculates results for pressure drop between 8% and 12% higher. These results represent a significant difference in calculated pressure drop. This of course assumes that the formula in ISA 75.01.01 is not over predicting the pressure drop, but the specific heat ratio factor for the refrigerants used is well-within the limits for accurate calculation and represents almost half a century of work in this area since the time that the basis for the IIAR equation was developed.
Table 2 lists the results in a similar manner as Table 1, with the exact same conditions, but with R22 as the refrigerant, again for Manufacturer 1. The results show that the manufacturer’s listed capacities are conservative based on the IIAR equation, similar to the ammonia capacities for the same valves. Results showed differences in the results versus the catalog baseline similar to the ammonia results. However, with respect to how the methods compared to each other, the ISA method predicted pressure drops that were between 11% and 16% higher than the IIAR method, over 30% higher than for ammonia.
The results in Tables 2 and 3 indicate a significant difference in calculated results between the IIAR equation and a nationally-recognized standard for valve sizing, which increases as a refrigerant’s specific heat ratio differs further from air and its compressibility factor differs further from Table 1. These properties are known to be of significance with respect to pressure drop through a vapor flow valve. Although 10-15% may not make a difference in valve size in many applications, it should be recognized that this is based on saturated vapor only, which is seldom the case in dry suction lines. The differences begin to become even more significant when superheat is introduced (see Table 3).
Table 3 lists a smaller sampling of calculated pressure drops than Tables 1 and 2, and considers valves from Manufacturer 2. The refrigerant conditions are a liquid temperature of 90°F, an evaporator saturated pressure as indicated, and 12°F of superheat. The saturated temperature is shown in the Table 3, with the superheated temperature listed in parentheses.
Again, it is clear that the IIAR equation tends to under predict the pressure drop through each valve as compared to the catalog rating (indicating some conservatism in the rating). The ISA equation tends to predict higher pressure drops at the catalog rating than what is indicated in the catalog, and in the case of the conditions analyzed, provides pressure drops that are between 17% and 30% higher than the IIAR-predicted value. This is significant and can make a substantial difference in design versus actual pressure drops where superheated vapor is returned to the compressors.
In an effort to compare the equation results at higher pressures and temperatures, valves from both manufacturers were analyzed in Table 4. Table 4 is based on catalog ratings for discharge gas capacities. The first four rows of Table 4 are ratings for a 1” valve from Manufacturer 1. It is clear again that the capacities listed are either consistent or slightly conservative with regard to the catalog capacities. However, the pressure drops predicted by the ISA equation are between 7% and 30% higher than the IIAR values. Interestingly, the valves from Manufacturer 2 list catalog capacities for which the ISA equation predicts within 4% the catalog pressure drop. This is shown in the last two rows of Table 4. The reason for this difference could not be determined for the writing of this paper.
The question may arise within the engineering or contracting communities as to the significance of these findings, considering that valves may or may not be selected with a granularity approaching that which would make a 20% difference significant. The answer to this question is that such results are significant in at least (2) inter-related ways:
- It is typical in many refrigeration engineering circles to select a valve based on a catalog rating, but these ratings are specific to a single condition, as is mentioned in all refrigeration valve manufacturers’ catalogs. This demands a reasonable method of determining a more accurate predicted pressure drop. This alone may not be enough to sway some into believing that this will affect the outcome of valve selection. However, in addition to this, the consideration must be made that valves are almost never placed into service by themselves, but are typically installed as part of valve trains. These valves must also be properly sized, and a miscalculation of pressure drop in the design phase can at times lead to large energy penalties incurred by the end user in lowering “house” suction to the point where a single room, designed to operate close to the nominal suction temperature, will meet the required design temperatures. There are many cases in which a marginal valve as part of a valve train is the correct choice, but judicious selection of the other components is necessary, requiring accuracy greater than within 20%.
- At high suction pressures, an additional 0.5 psi drop through a valve train will only incur an approximately 0.3°F temperature penalty at 40°F for example. However, at -20°F, this penalty more than triples to over 1°F.
CONCLUSIONS
The above analysis compares equations from two main sources, the IIAR Piping Handbook and ANSI/ISA 75.01.01, for determining flow or pressure drop through a given valve. Assumptions were made about the characteristic xT of the valves from two manufacturers and their catalog ratings compared in tables.
It should be noted that both manufacturers were contacted and both indicated that the only experimentally-determined valves for their valves are Cv on water. All other performance characteristics are calculated, not measured. Manufacturer 1 indicated that the IIAR equation was used to calculate their ratings, though it appears that some, possibly arbitrary, safety factor may have been added to dry suction vapor capacities. Note that all valves analyzed were inlet pressure regulators. Manufacturer 2 did not indicate a method of calculation for their capacity ratings.
The ISA equation tended to consistently calculate higher pressure drops than the IIAR equation for the same valve. ISA considers compressibility and specific heat ratio effects that the IIAR equation does not. The results were at least 14% higher for pressure drops in suction vapor valves with the ISA equation versus the IIAR, with values ranging much higher and diverging more for R22 than for ammonia.
These conclusions indicate that some consideration should be made for changes to the IIAR Piping Handbook and the IIAR’s chosen method of calculating pressure drop in a valve for a given flow. There is a stark lack of experimental data for comparison, and a standardization of valve rating method should be considered for industrial refrigeration valve manufacturers. The IIAR should consider adopting the ANSI/ISA method of calculating valve pressure drop performance.
In addition, manufacturers of valves for industrial refrigeration applications should consider publishing data on the value of xT for each valve they produce to enhance the accuracy of pressure drop calculations. This will lead to increased understanding of how valve performance compares between manufacturers, and an increased ability of the design engineer to provide refrigeration controls that operate more efficiently and predictably. Performance testing on various refrigerants for a select group of valves may also provide an indication of the accuracy of the ISA equations for pressure drops of vapor flows.
Refrigeration engineers designing industrial systems should continue to aid the IIAR in determining, as is possible, the applicability and usefulness of the published equations.
Although simple sizing of valves based on catalog ratings for specific conditions has often been adequate in the past to provide working systems, both the design of refrigeration systems by table and the rating of valves by older methods should be updated to include modern understanding of valve/fluid interaction. Innovation in the industrial refrigeration industry depends on the commitment of manufacturers, industry organizations, engineers, and contractors to avoid stagnation in design techniques.
REFERENCES
- http://www.engineeringtoolbox.com/flow-coefficients-d_277.html, “Flow Coefficient – Cv – Formulas for Liquids, Steam, and Gases – Online Calculators, Author unavailable
- Turnquist, Ralph. “Comparison of Gas Flow Formulas for Control Valve Sizing.” Instrument Society of America Preprint 17 SL61 (1961): 1-7
- ISA, ANSI/ISA 75.01.01-2007, Flow Equations for Sizing Control Valves, pp.11-17
- Riveland, Marc L. The Use of Control Valve Sizing Equations with Simulation Based Process Data. Presented at ISA automation week, 2012.
- Buresh, JF and Schuder, CB. “Development of a universal gas sizing equation for control valves.“ ISA Transactions, Vol. 3, 1964, pp. 322-328
- Driskell, L.R. “Sizing Valves for Gas Flow.” ISA Transactions, Volume 9, 1970, pp. 325-331
- Lemmon, E.W., Huber, M.L., McLinden, M.O. NIST Standard Reference Database 23: Reference Fluid Thermodynamic and Transport Properties-REFPROP, Version 9.11, National Institute of Standards and Technology, Standard Reference Data Program, Gaithersburg, 2013.































